Google lanza contenido educativo con Modo IA: así se aprende la ecuación de segundo grado

Nuevo 'doodle' educativo
Nuevo 'doodle' educativo / Google

Google continúa con su compromiso de hacer que la inteligencia artificial (IA) sea útil para todos los ámbitos posibles, incluido el de la educación. Por ese motivo, durante la jornada de este viernes 22 de octubre, su doodle se ha convertido en una curiosa experiencia educativa: aprendiendo la ecuación de segundo grado, paso a paso. Solo hay que hacer clic sobre la alteración temporal del logotipo para acceder a esta explicación matemática en modo IA.

Desde su primera aparición en 1998, los doodles de Google se han convertido en una forma creativa y lúdica de conmemorar fechas importantes, homenajear a figuras históricas y celebrar eventos culturales en todo el mundo. Sin embargo, estas intervenciones gráficas van ahora un paso más allá y se adentran en aspectos relacionados con las ciencias exactas. A continuación, vamos a ver cómo resolver la ecuación de segundo grado con el Modo IA.

Así se resuelve la ecuación de segundo grado, paso a paso

"Una ecuación cuadrática es una ecuación de segundo grado con la forma general ax² + bx + c = 0", explica Gemini, la IA de Google. Sin embargo, hay que tener en cuenta que a, b y c son constantes reales y a nunca puede ser igual a 0; de lo contrario, el término ax² desaparecería. Para resolverla, se utiliza una fórmula general, que proporciona dos posibles soluciones o raíces de la ecuación. Solo hay que seguir los siguientes pasos:

  • En primer lugar, la ecuación debe estar en su forma correcta original: ax² + bx + c = 0.
  • Luego, hay que identificar los valores de a, b y c, prestando especial atención a los signos de cada coeficiente.
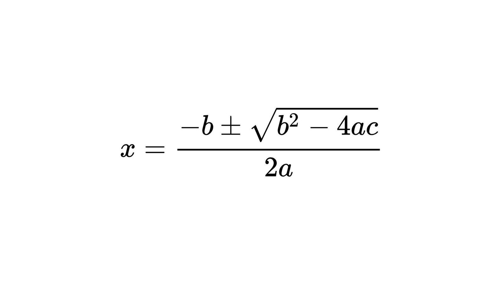
  • Una vez hecho esto, se sustituyen estos valores en la fórmula general: -b ± la raíz cuadrada de b² - 4ac; y todo ello dividido entre 2a.
Fórmula general para resolver la ecuación de segundo grado
Fórmula general para resolver la ecuación de segundo grado
  • Entonces, se calcula el discriminante. Es decir, la parte que hay dentro de la raíz cuadrada: b² - 4ac. Este resultado informará sobre cuántas soluciones reales tiene la ecuación.
  • Calcular las dos posibles soluciones, empleando primero el signo '+' y después el signo '-'.

Finalmente, existe la posibilidad de factorizar la ecuación. Hablamos del proceso de descomponer una expresión matemática (un número o un polimonio) en el producto de otros factores más simples. Para ello, hay que seguir los siguientes pasos:

  • Escribir la ecuación en su forma ax² + bx + c = 0.
  • Factorizar la expresión cuadrática: (px + q) (rx + s) = 0.
  • Igualar cada factor a 0: px + q = 0; rx + s = 0.
  • Resolver las dos ecuaciones lineales.

Google da un salto hacia el contenido educativo con modo IA

El Modo IA es la experiencia de búsqueda con IA más relevante de Google. Los usuarios pueden preguntar lo que quieran y obtener respuestas automáticas al respecto. Ahora ofrece además la posibilidad de aprender de una manera creativa y divertida sobre aspectos como, en este caso, la ecuación de segundo grado.

Los doodles de Google se han convertido con el tiempo en una importante herramienta de divulgación y educación, que cuentan con millones de visualizaciones diarias. La realidad es que no solo captan la atención de los usuarios, sino que también invitan a descubrir historias, aniversarios, curiosidades o desarrollos matemáticos.

stats